Abstract:Data for training structural health monitoring (SHM) systems are often expensive and/or impractical to obtain, particularly for labelled data. Population-based SHM (PBSHM) aims to address this limitation by leveraging data from multiple structures. However, data from different structures will follow distinct distributions, potentially leading to large generalisation errors for models learnt via conventional machine learning methods. To address this issue, transfer learning -- in the form of domain adaptation (DA) -- can be used to align the data distributions. Most previous approaches have only considered \emph{unsupervised} DA, where no labelled target data are available; they do not consider how to incorporate these technologies in an online framework -- updating as labels are obtained throughout the monitoring campaign. This paper proposes a Bayesian framework for DA in PBSHM, that can improve unsupervised DA mappings using a limited quantity of labelled target data. In addition, this model is integrated into an active sampling strategy to guide inspections to select the most informative observations to label -- leading to further reductions in the required labelled data to learn a target classifier. The effectiveness of this methodology is evaluated on a population of experimental bridges. Specifically, this population includes data corresponding to several damage states, as well as, a comprehensive set of environmental conditions. It is found that combining transfer learning and active learning can improve data efficiency when learning classification models in label-scarce scenarios. This result has implications for data-informed operation and maintenance of structures, suggesting a reduction in inspections over the operational lifetime of a structure -- and therefore a reduction in operational costs -- can be achieved.




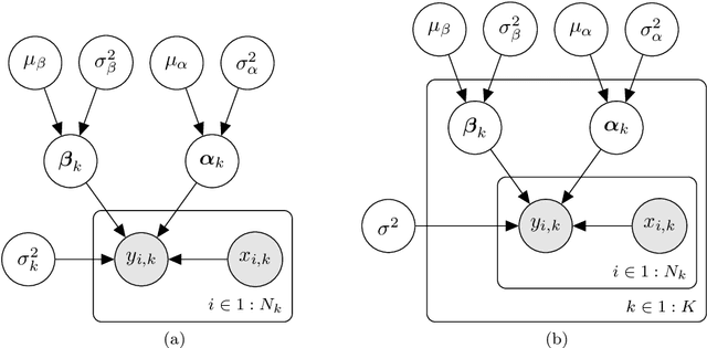
Abstract:Population-based structural health monitoring (PBSHM) aims to share valuable information among members of a population, such as normal- and damage-condition data, to improve inferences regarding the health states of the members. Even when the population is comprised of nominally-identical structures, benign variations among the members will exist as a result of slight differences in material properties, geometry, boundary conditions, or environmental effects (e.g., temperature changes). These discrepancies can affect modal properties and present as changes in the characteristics of the resonance peaks of the frequency response function (FRF). Many SHM strategies depend on monitoring the dynamic properties of structures, so benign variations can be challenging for the practical implementation of these systems. Another common challenge with vibration-based SHM is data loss, which may result from transmission issues, sensor failure, a sample-rate mismatch between sensors, and other causes. Missing data in the time domain will result in decreased resolution in the frequency domain, which can impair dynamic characterisation. The hierarchical Bayesian approach provides a useful modelling structure for PBSHM, because statistical distributions at the population and individual (or domain) level are learnt simultaneously to bolster statistical strength among the parameters. As a result, variance is reduced among the parameter estimates, particularly when data are limited. In this paper, combined probabilistic FRF models are developed for a small population of nominally-identical helicopter blades under varying temperature conditions, using a hierarchical Bayesian structure. These models address critical challenges in SHM, by accommodating benign variations that present as differences in the underlying dynamics, while also considering (and utilising), the similarities among the blades.
Abstract:There have been recent efforts to move to population-based structural health monitoring (PBSHM) systems. One area of PBSHM which has been recognised for potential development is the use of multi-task learning (MTL); algorithms which differ from traditional independent learning algorithms. Presented here is the use of the MTL, ''Joint Feature Selection with LASSO'', to provide automatic feature selection for a structural dataset. The classification task is to differentiate between the port and starboard side of a tailplane, for samples from two aircraft of the same model. The independent learner produced perfect F1 scores but had poor engineering insight; whereas the MTL results were interpretable, highlighting structural differences as opposed to differences in experimental set-up.